class: center, middle, inverse, title-slide .title[ # Grammar of Graphics ] .subtitle[ ## Building plots in ggplot2 (and matplotlib equivalents) ] .author[ ### Guillaume Falmagne ] .date[ ###
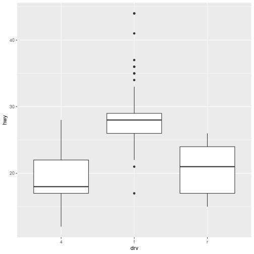
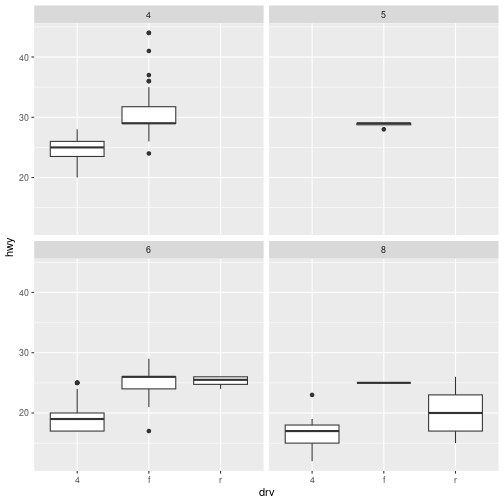
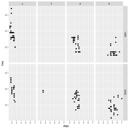
Oct. 23th, 2024 ] --- class: inverse, center, middle # Probably our most useful topic --- # Grammar or Graphics .pull-left[ - The main idea is to create a general framework to represent plots, instead of having many single use functions - ggplot2 is an implementation of the grammar of graphics: - [https://ggplot2-book.org/](https://ggplot2-book.org/) - [https://ggplot2.tidyverse.org/reference/](https://ggplot2.tidyverse.org/reference/) ] .pull-right[  ] --- class: left, top background-image: url(figures/gg_layers_described.png) background-position: center middle background-size: 100% # Layers --- class: left, top background-image: url(figures/grammar-of-graphics.png) background-position: center middle background-size: 90% # Conceptual mapping --- # Normal plots vs GG plots .pull-left[ ### Base plots - Literal description of the graphical elements - Manual choice of: - colors, shapes, legends ... ``` r n = 60 x = rnorm(n) z = sample(c(0, 1), n, replace = TRUE) y = 1 + x + 2 * z + rnorm(n, sd = 0.5) # Main plot: plot(x, y, pch = 19) # The red points: points(x[z == 1], y[z == 1], col = "red", pch = 19) # The legend legend(max(x)-0.5, min(y)+0.5, legend = c("z==0", "z==1"), col = c("black", "red"), pch = 19) ``` ] .pull-right[ ### GG plots - Instead of describing the graphical elements, we describe the mapping of variables and graphical elements ``` r library(ggplot2) df = data.frame(x, y, z = factor(z)) ggplot(df, aes(x, y, color = z)) + geom_point() ``` ### matplotlib ``` python import matplotlib.pyplot as plt # where z and y are numpy arrays plt.scatter(x, y, c=np.where(z == 0, 'black', 'red'), label='z') plt.legend() ``` ] --- # Data layer .pull-left[ - Contains the actual information displayed in the plot - Always assigned to the `data` argument on the ggplot2 functions - Always a data.frame - Fits well in the tidy data principles - Requires all the wrangling we saw in the previous lectures ] .pull-right[ ```r ggplot(data = mpg) + ... # or ggplot(mpg) + ... # or ggplot() + geom_something(data = mpg) ``` ] ### pandas can "replace" matplotlib for simple plotting (less flexible) ``` python x = np.linspace(0, 10, 100) y = np.random.normal(0, 1, 100) df = pd.DataFrame({'x': x, 'y': y}) df.plot.scatter(x='x', y='y', c='blue') # directly use dataframe columns as arguments ``` --- # Mapping (aesthetics layer) .pull-left[ - Aesthetic mapping: Link variables in data to graphical properties in the geometry - mapping argument = always an `aes()` function call - arguments of `aes()` must dataframe columns - Golden ggplot rule: - things that **vary** with the data are set _inside_ `aes` - things that **don't vary** with the data are set _outside_ `aes` ] .pull-right[ ```r ggplot(data = mpg, mapping = aes(x = displ, y = hwy)) + ... # or ggplot(mpg, aes(x = displ, y = hwy)) + ... # or ggplot(mpg) + geom_something(aes(x = displ, y = hwy)) # or ggplot() + geom_something(data = mpg, aes(x = displ, y = hwy)) ``` ] --- # Scales .pull-left[ - Scales translate data into actual visual things - Categories → Color, fill, shape, linetype, ... - Numbers → Position, color, fill, size, ... - ... - Imply a specific interpretation of values: - discrete, continuous, etc. - if the variable properties are incompatible with the scale, you get an error ```r ggplot(data = mpg, mapping = aes(x = displ, y = hwy, color = year, shape = drv)) + ... ``` ] .pull-right[ ### matplotlib Pass arguments like `color=`, `size=`, `marker=`, `alpha=`, `label=`, in functions like `plt.scatter()`, `plt.plot()`, `plt.bar()`, `plt.hist()`, etc. ``` python plt.scatter(mpg['displ'], mpg['hwy'], # c is short for color c=mpg['year'], # cmap is the color map = color scale cmap='viridis', marker='o') ``` ] --- # Geometries .pull-left[ - What graphical representations for the input aesthetics? - a number of points, `geom_point - a line, `geom_line` - a single polygon, `geom_polygon` - or something else entirely? `geom_raster` **Minimal ggplot**: data, mapping, geometry. (Everything else has default values) ### matplotlib `plt.scatter()` `plt.plot()` `plt.bar()` `plt.hist()` 2D heat maps: `plt.pcolor()`, `plt.pcolormesh()`, `plt.imshow()` ] .pull-right[ ``` r library(ggplot2) ggplot(mpg, aes(x = displ, y = hwy, shape = drv)) + geom_point() ``` <img src="12_GrammarOfGraphics_files/figure-html/unnamed-chunk-6-1.png" width="75%" /> ] --- # Geometries - Some geoms only need a single mapping and will calculate the rest for you .pull-left[ ``` r ggplot(faithful) + geom_histogram(aes(x = eruptions)) ``` ``` ## `stat_bin()` using `bins = 30`. Pick better value with `binwidth`. ``` <img src="12_GrammarOfGraphics_files/figure-html/unnamed-chunk-7-1.png" width="70%" /> ] .pull-right[ </br> </br> </br> </br> </br> ### matplotlib ``` python import matplotlib.pyplot as plt plt.hist(faithful['eruptions']) ``` ] --- # Statistics .pull-left[ - Even though data is tidy, it might need treatment/transformation before displaying, e.g.: - **bar chart or histogram**: Count number of observations in each category or bin - **boxplot**: Calculate summary statistics - Is implicit in many plot-types but can often be done explicitly - Check the help file! ### seaborn ``` python import seaborn as sns sns.boxplot(x='drv', y='hwy', data=mpg) ``` ] .pull-right[ ``` r ggplot(data = mpg, aes(x = drv, y = hwy)) + geom_boxplot() ``` <!-- --> ] --- # Default stats .pull-left[ - Each `stat_` has an associated `geom_` - Each `geom_` has an associated `stat_` This is why new data (`count`) can appear when using `geom_bar()`. ### matplotlib The equivalent of `stat_` would usually be to collect output of the plotting function ``` python counts, bins, patches = plt.hist(faithful['eruptions']) ``` ] .pull-right[ ``` r ggplot(mpg) + geom_bar(aes(x = class)) ``` <img src="12_GrammarOfGraphics_files/figure-html/unnamed-chunk-12-1.png" width="95%" /> ] --- # Pre calculating stats - The stat can be overwritten. - If we have precomputed count we do not want any additional computations to perform and we use the `identity` stat to leave the data alone .pull-left[ ``` r library(dplyr) mpg_counted <- mpg %>% count(class, name = 'count') ggplot(mpg_counted) + geom_bar(aes(x = class, y = count), stat = 'identity') ``` ] .pull-right[ <img src="12_GrammarOfGraphics_files/figure-html/unnamed-chunk-14-1.png" width="90%" /> ] --- # Pre calculating stats - Most obvious geom+stat combinations have a dedicated geom constructor. - The alias for the one in the previous slide is `geom_col()` ``` r ggplot(mpg_counted) + geom_col(aes(x = class, y = count)) ``` <img src="12_GrammarOfGraphics_files/figure-html/unnamed-chunk-15-1.png" width="35%" /> --- # Accessing calculated stats with `after_stat` - Values calculated by the stat is available with the `after_stat()` function inside `aes()`. - You can do all sorts of computations inside that. .pull-left[ ``` r ggplot(mpg) + geom_bar( aes(x = class, y = after_stat(100 * count / sum(count)) )) ``` ### matplotlib ``` python import seaborn as sns sns.barplot( data=100* mpg['class'].value_counts(normalize=True), x='class', y='percentage') ``` ] .pull-right[ <img src="12_GrammarOfGraphics_files/figure-html/unnamed-chunk-18-1.png" width="90%" /> ] --- # Facets .pull-left[ - Define the number of panels with equal logic and split data among them… - Small multiples - Allows you to look at small subsets of your data in separate plots - Panel layout may carry meaning - `facet_wrap()` - seaborn equivalent: `sns.FacetGrid()` ``` python import seaborn as sns g = sns.FacetGrid(mpg, col="cyl") g.map(sns.boxplot, "drv", "hwy") ``` ] .pull-right[ ``` r ggplot(mpg, aes(x = drv, y = hwy)) + geom_boxplot() + facet_wrap(~cyl) ``` <!-- --> ] --- # Facets .pull-left[ - Define the number of panels with equal logic and split data among them… - Small multiples - Allows you to look at small subsets of your data in separate plots - Panel layout may carry meaning - Could have used it in the midterm... </br> - seaborn ``` python g = sns.FacetGrid(mpg, col="cyl", row="year") g.map(sns.boxplot, "drv", "hwy") ``` ] .pull-right[ ``` r ggplot(mpg, aes(x = displ, y = hwy)) + geom_point() + facet_grid(year~cyl) ``` <!-- --> ] --- # Coordinates .pull-left[ - Positional aesthetics are special. 1. Variables are mapped, scaled, applied to a geometry 2. But in the end, the position values are interpreted by a coordinate system - Defines the physical mapping of the aesthetics to the paper - Transformations can be applied to the coordinates to produce different plots - log scales - polar coordinates - map coordinates ] .pull-right[ ```r ggplot(diamonds, aes(carat, price)) + geom_point() + # coord_cartesian(xlim = c(0, 1)) # coord_fixed() # fixed ratio # coord_flip() # coord_trans(y = "log") ggplot(mpg, aes(x = class)) + geom_bar + coord_cartesian(ylim = c(0, 40)) ggplot(mpg, aes(x = class)) + geom_bar() + coord_polar(theta = "y") + expand_limits(y = 70) # guarantees that a value is present ``` ### matplotlib ``` python plt.xticks(rotation=90) plt.xlim() # or ylim ax.set_xlim([min,max]) # same but on axis ``` ] --- # Combining plots We have two good options for creating panels with several plots: - [`cowplot`](https://cran.r-project.org/web/packages/cowplot/vignettes/introduction.html) package - has the plot_grid() function which has good defaults - can take lists of plots - can set plot labels ```r library(cowplot) p1 <- ggplot() + ... p2 <- ggplot() + ... plot_grid(p1, p2) ``` .pull-left[ - [`patchwork`](https://patchwork.data-imaginist.com/) package, allows: - plot composition using math notation - complex composition using string guides ```r library(patchwork) p1 <- ggplot() + ... p2 <- ggplot() + ... p1 + p2 # horizontal p1 / p2 # vertical ``` ] .pull-right[ ### matplotlib ``` python fig, axs = plt.subplots(3, 2) # (n_x, n_y) axs[0, 0].plot(x, y) ``` - then tools for spacing, common axes, etc. ] --- # Adding more than one geometry .pull-left[ ``` r ggplot(faithful, aes(x = eruptions, y = waiting)) + geom_density_2d() + # Order matters! geom_point() # This puts points on top of lines ``` <img src="12_GrammarOfGraphics_files/figure-html/unnamed-chunk-25-1.png" width="90%" /> ] .pull-right[ ### matplotlib ``` python plt.scatter(x, y) # points plt.plot(x, y) # lines ``` ] --- # Themes .pull-left[ - Everything related to the look of the plot - Font sizes - Background - Axis lines - ... ] .pull-right[ - Many pre-baked solutions - [`ggthemes`](https://yutannihilation.github.io/allYourFigureAreBelongToUs/ggthemes/) package - [`cowplot`](https://cran.r-project.org/web/packages/cowplot/vignettes/introduction.html) package ] ``` r library(ggplot2) library(cowplot) library(ggthemes) p = ggplot(mpg, aes(x = displ, y = hwy, color = drv)) + geom_point(size = 2) plot_grid(p + theme_cowplot(16), p + theme_excel(), p + theme_tufte(), p + theme_wsj()) ``` ### matplotlib ``` python plt.xlabel('x axis title', fontsize=12) plt.legend(fontsize=12) ... ``` --- # Exercise - changing points 1. Modify the code below to make the points larger squares and slightly transparent. - Hint 1: transparency is controlled with `alpha`, and shape with `shape` - Hint 2: remember the difference between mapping and setting aesthetics 2. Add a line that separates the two point distributions. See `?geom_abline` for how to draw straight lines from a slope and intercept. ``` r ggplot(faithful) + geom_point(aes(x = eruptions, y = waiting)) ``` --- # Exercises - using `stat_` - While most people use `geom_*()` when adding layers, it is just as valid to add a `stat_*()` with an attached geom. Look at `geom_bar()` and figure out which stat it uses as default. Then modify the code to use the stat directly instead (i.e. adding `stat_*()` instead of `geom_bar()`) ``` r ggplot(mpg) + geom_bar(aes(x = class)) ``` - Use `stat_summary()` to add a red dot at the mean `hwy` for each group - Hint: You will need to change the default geom of `stat_summary()` ``` r ggplot(mpg, aes(x = class, y = hwy)) + geom_jitter(width = 0.2) ```